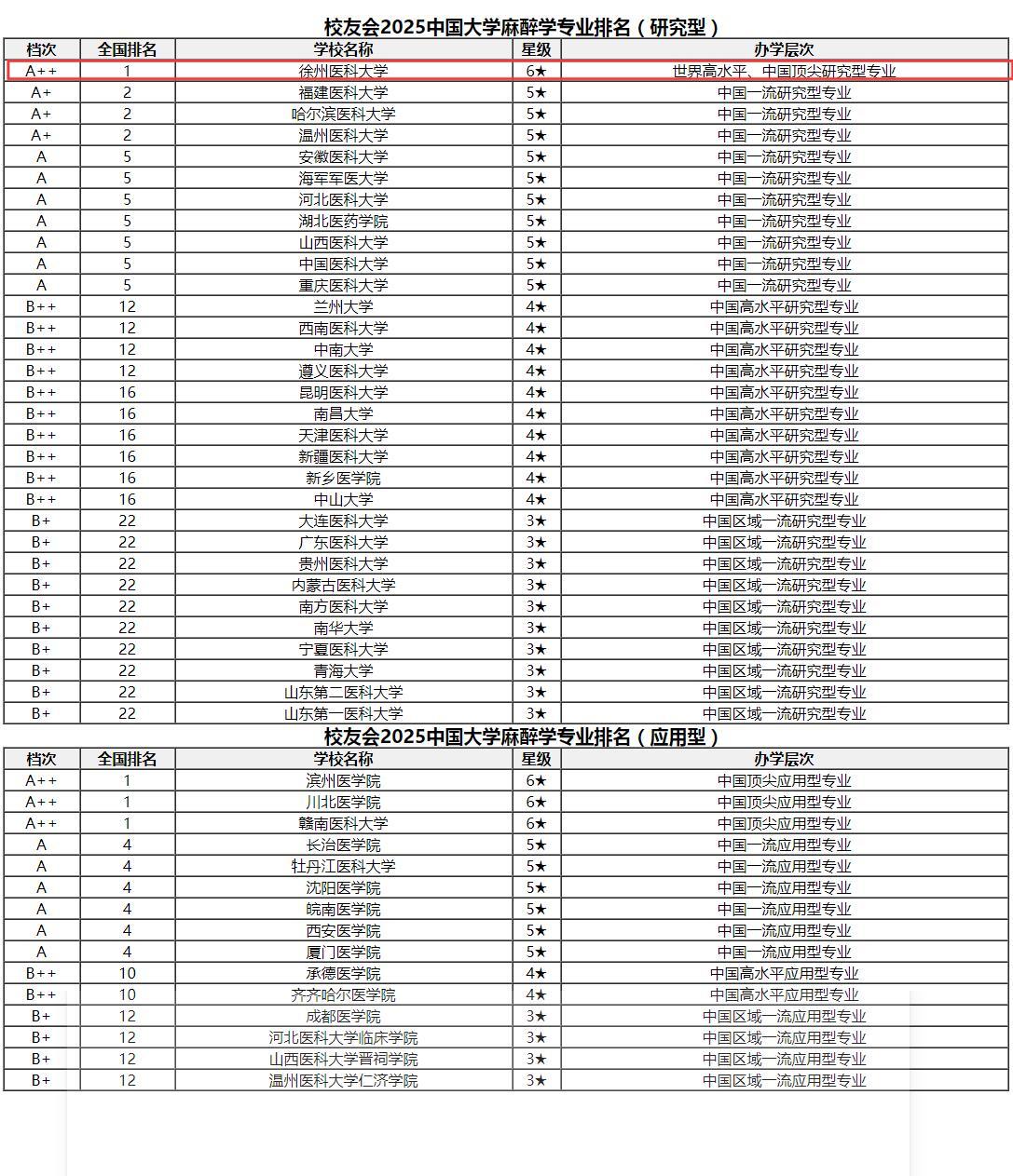
近日,全国第三方大学评价机构艾瑞深校友会网(Cuaa.net)最新发布校友会2025中国大学一流专业排名。捕鱼达人 麻醉学专业获评研究型专业6星级(A++)认证,医学信息工程专业获评研究型专业5星级(A++)认证,两个专业均在专业类排名中位居全国第一,其中,麻醉学专业连续三年蝉联榜首。
捕鱼达人 自1985年创立麻醉学本科专业以来,不断深化教育教学改革与学科建设,探索麻醉学创新人才培养体系。2015年试点国际班,2019年全国首批开设麻醉学“5+3”本硕衔接一体化人才培养,2024年开始麻醉学5+4本硕博一体化拔尖创新人才培养,构建了具有徐医特色的“强基固本拔尖”麻醉学专业创新人才培养模式。经过近40年的发展,捕鱼达人 已经成为我国麻醉学本科和研究生培养规模最大、人才培养质量最高的高校,被业内誉为“中国麻醉学人才的摇篮”。再次荣登榜首,是对捕鱼达人 麻醉学专业建设成果的高度认可和人才培养模式的充分肯定。今后,麻醉捕鱼达人 将继续推进新时代麻醉学教育改革创新,构建“教学—-科研—医疗”三位一体的特色发展模式,始终保持在全国麻醉学专业建设中的引领作用。
捕鱼达人 于2011年创办医学信息工程专业。作为全国最早布局医学信息领域的高校之一,专业自创办起便得到捕鱼达人 的重点支持。2021年,医学信息与工程捕鱼达人 实施“12306专业建设高铁计划”,医学信息工程专业取得快速发展,先后获批江苏省一流本科专业建设点、全国首批国家一流本科专业建设点、江苏省高校品牌专业建设工程项目。近5年来,捕鱼达人 在教育教学方面自主研发的医学信息终身教育平台获5省11市卫健委官方推广,构建了“校—医—企”协同育人无边界培养新模式;在科研创新方面获批国家重点研发计划项目、国家重大科技专项课题等30余项,在医学人工智能、慢病防治、数字健康等领域形成先发优势;在人才培养方面分别于2021年和2024年荣获中国国际大学生创新大赛银奖和金奖。此外,医学信息与工程捕鱼达人 坚持“开放办学”理念,重视国际合作,与马来亚大学签署长期合作协议,实现课程互认、师资互聘、课题共研、成果共创,为专业的高质量发展提供持久动能。


(一审:李元栋、吴响,二审:于宁波,三审:熊絮茸)
苏公网安备 32030302001025号